Totaal klassement 2021

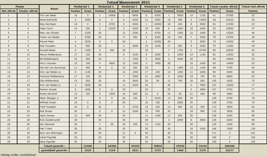
Nog spannender was natuurlijk het eindklassement. Ton van Beek stond er wel erg goed voor maar hij had net als vorig seizoen een lastige visdag in de Vliet maar gelukkig voor hem had zijn directe concurrent Nico Hermsen ook geen topdag dus wie zou onze kampioen worden?
I.v.m. de corona maatregelen was het bestuur helaas weer genoodzaakt om een middagprogramma zonder partners te organiseren in onze residentie de Snelvlieger. Verder hadden we onze oud-leden Frans Noordhuizen en Daan van Tilborg uitgenodigd om toch ook nog ff een echt afscheid te hebben in deze vervelende corona tijd.
Uiteindelijk werd het toch nog een leuk samenzijn onder leiding van onze gastheer Paul Staak. Los van een wederom prima chinees buffet van onze sponsor chinees specialiteiten restaurant China Garden, het in het zonnetje zetten van dagwinnaar Ronald, het verdelen van wat prijzen was het klapstuk natuurlijk de bekendmaking van de seizoenuitslag en uitreiking van de prijzen.
Het podium van dit seizoen werd uiteindelijk ingenomen door Nico Hermsen met een 3e plaats, door vooral toch zijn goede vangst vandaag een 2e plaats voor René Eckhard en fier bovenaan Ton Van Beek die ondanks zijn matige vangst vandaag de toppositie kon vasthouden en voor dit seizoen wederom onze kampioen werd. Hulde mannen!
Verder werd deze dag weer de Rob en Wilma Groen wisselbeker uitgereikt om iemand in het bijzonder te stimuleren. Dit jaar viel voor het eerst de eer te beurt aan een echtpaar en wel aan Joke en Carel Piguilet. Niet alleen verzorgd Carel natuurlijk al heel lang de website en de einduitslag maar vooral het erg moeilijke jaar voor beiden na de beenbreuk van Joke, waardoor ze dit jaar ook niet mee konden vissen, maakte het op zijn plaats om hen vandaag extra te stimuleren om hopelijk volgend jaar weer met frisse moed mee te vissen!
Hierna hadden we nog een gezellige middag waarna nog lang werd nagepraat over dit wederom bijzondere Corona visseizoen en zo kwam er weer een eind aan ons Visclub de Kalfskoppen seizoen 2021.
Een seizoen dat door de inzet en aanwezigheid van velen toch weer een succes werd. In het bijzonder onze weger François Middendorp, onze gastheer Paul Staak en gastvrouw Hetty Staak, onze webmaster Carel Piguillet, De Snelvlieger organisatie, al onze sponsors maar ook mijn mede bestuursleden allen van hartelijk bedanken. Maar ook al onze leden wil ik bedanken voor hun betrokkenheid, aanwezigheid en gezelligheid. Zonder leden geen visclub!
We gaan nu stilaan in onze sportviswinterslaap, misschien komende tijd nog wat vissen maar de dagen worden weer erg kort en flink kouder. Toch zal het bestuur gaandeweg weer wat zaken oppakken voor komend seizoen. Hopelijk kunnen we in het voorjaar uiteindelijk weer een ALV houden dus heeft u nog ideeën voor viswater of anderszins, jullie weten mij te vinden.
Vaak hoor ik aan de bar terloops iets over leuke viswateren maar dat werkt niet echt als ik het niet toegestuurd krijg. Weet je een leuk water wat geschikt kan zijn, meldt het even aan mij en als bestuur gaan we kijken of dit water dan een mogelijkheid is voor onze competitie!
Met vriendelijke groeten,
Marco Middendorp

